Draft Guidelines on Minimum Capital Requirements for Market Risk - ആർബിഐ - Reserve Bank of India
Draft Guidelines on Minimum Capital Requirements for Market Risk
Chapter 1: Boundary between the banking book and the trading book This chapter sets out the instruments to be included in the trading book (which are subject to market risk capital requirements) and those to be included in the banking book (which are subject to credit risk capital requirements). 1. Scope of the trading book 1.1 A trading book, for the purpose of capital adequacy, shall consist of all instruments that meet the specifications for trading book instruments set out in paragraph 1.2 to 1.13. All other instruments shall be included in the banking book. 1.2 Instruments comprise financial instruments and foreign exchange (FX). A financial instrument is any contract that gives rise to both a financial asset of one entity and a financial liability or equity instrument of another entity. Financial instruments include primary financial instruments (or cash instruments) and derivative financial instruments. A financial asset is any asset that is cash, the right to receive cash or another financial asset, or an equity instrument. A financial liability is the contractual obligation to deliver cash or another financial asset. 1.3 Banks shall only include a financial instrument or instruments on FX in the trading book when there is no legal impediment against selling or fully hedging it. 1.4 Banks shall fair value daily any trading book instrument. Standards for assigning instruments to the regulatory books 1.5 Any instrument a bank holds for one or more of the following purposes shall, when it is first recognised on its books, be designated as a trading book instrument, unless specifically otherwise provided for in paragraph 1.3 or 1.8:
1.6 The following instruments shall be included in the trading book, unless specifically otherwise provided for in paragraph 1.3 or 1.8:
1.7 Any instrument which is not held for any of the purposes listed in paragraph 1.5 at inception, nor seen as being held for these purposes according to paragraph 1.6, shall be assigned to the banking book. 1.8 The following instruments shall be assigned to the banking book:
1.9 Accordingly, the following instruments shall be presumed to be part of trading book unless specifically otherwise provided for in paragraph 1.3 or 1.8:
1.10 Banks shall have the option to deviate from the presumptive list specified in paragraph 1.9 according to the process set out below9.
Supervisory powers 1.11 Notwithstanding the process established in paragraph 1.10 for instruments on the presumptive list, RBI may require the bank to provide evidence that an instrument in the trading book is held for at least one of the purposes specified in paragraph 1.5. If RBI is of the view that a bank has not provided enough evidence or if RBI believes the instrument customarily would belong in the banking book, it may require the bank to assign the instrument to the banking book, except if it is an instrument listed under paragraph 1.6. 1.12 RBI may require the bank to provide evidence that an instrument in the banking book is not held for any of the purposes of paragraph 1.5. If RBI is of the view that a bank has not provided enough evidence, or if RBI believes such instruments would customarily belong in the trading book, it may require the bank to assign the instrument to the trading book, except if it is an instrument listed under paragraph 1.8. Documentation of instrument designation 1.13 A bank shall have clearly defined policies, procedures and documented practices for determining which instruments to include in or to exclude from the trading book for the purposes of calculating their regulatory capital, ensuring compliance with the criteria set forth in this section, and taking into account the bank’s risk management capabilities and practices. A bank’s internal control functions shall conduct an ongoing evaluation of instruments both in and out of the trading book to assess whether its instruments are being properly designated initially as trading or non-trading instruments in the context of the bank’s trading activities. Compliance with the policies and procedures shall be fully documented and subject to periodic (at least yearly) internal audit and the results shall be available for supervisory review. 2. Restrictions on shifting instruments between the regulatory books 2.1 Apart from moves required by paragraph 1.5 to 1.10, there is a strict limit on the ability of banks to shift instruments between the trading book and the banking book by their own discretion after initial designation, which is subject to the process in paragraph 2.2 and 2.3. Shifting instruments between the trading book and the banking book for regulatory arbitrage is strictly prohibited. In practice, shifting should be rare and will be allowed only in extraordinary circumstances. Examples are a major publicly announced event, such as a bank restructuring requiring termination of the business activity applicable to the instrument or portfolio or a change in accounting standards that allows an item to be fair-valued through P&L. Market events, changes in the liquidity of a financial instrument, or a change of trading intent alone are not valid reasons for reassigning an instrument to a different book. When shifting positions, banks shall ensure that the standards described in paragraph 1.5 to 1.10 are always strictly observed. 2.2 Without exception, a capital benefit as a result of shifting shall not be allowed in any case or circumstance. This means that the bank shall determine its total capital requirement (across the banking book and trading book) before and immediately after the shift. If this capital requirement is reduced as a result of this shift, the difference as measured at the time of the shift shall be imposed on the bank as a disclosed Pillar 1 capital surcharge. This surcharge will be allowed to run off as the positions mature or expire, in a manner agreed with the Department of Supervision, RBI. To maintain operational simplicity, it is not envisaged that this additional capital requirement would be recalculated on an ongoing basis, although the positions would continue to also be subject to the ongoing capital requirements of the book into which they have been shifted. 2.3 Any shifting between books shall be approved by Board of the bank and Department of Supervision, RBI as follows. Any movement of instruments between the trading book and banking book, including outright sales at arm’s length, shall be considered shifting of instruments and is governed by requirements of this paragraph.
2.4 A bank shall adopt relevant policies that shall be updated at least yearly. Updates shall be based on an analysis of all extraordinary events identified during the previous year. Updated policies with changes highlighted shall be sent to the Department of Supervision, RBI. Policies shall include the following:
3. Treatment of internal risk transfers 3.1 An internal risk transfer is an internal written record of a transfer of risk between the banking and the trading book done via internal derivatives trades. 3.2 There will be no regulatory capital recognition for internal risk transfers from the trading book to the banking book. Thus, if a bank engages in an internal risk transfer from the trading book to the banking book (e.g., for economic reasons) this internal risk transfer would not be taken into account when the regulatory capital requirements are determined. 3.3 For internal risk transfers from the banking book to the trading book, paragraph 3.4 to 3.7 apply. Internal risk transfer of credit risk from banking book to trading book 3.4 When a bank hedges a banking book credit risk exposure using a hedging instrument purchased through its trading book (i.e., using an internal risk transfer), a) The credit exposure in the banking book is deemed to be hedged for capital requirement purposes if and only if:
b) External hedges for the purposes of paragraph 3.4(a) can be made up of multiple transactions with multiple counterparties as long as the aggregate external hedge exactly matches the internal risk transfer, and the internal risk transfer exactly matches the aggregate external hedge. 3.5 Where the requirements in paragraph 3.4 are fulfilled, the banking book exposure is deemed to be hedged by the banking book leg of the internal risk transfer for capital purposes in the banking book. Moreover, both the trading book leg of the internal risk transfer and the external hedge must be included in the market risk capital requirements. 3.6 Where the requirements in paragraph 3.4 are not fulfilled, the banking book exposure is not deemed to be hedged by the banking book leg of the internal risk transfer for capital purposes in the banking book. Moreover, the third-party external hedge must be fully included in the market risk capital requirements and the trading book leg of the internal risk transfer must be fully excluded from the market risk capital requirements. 3.7 A banking book short credit position created by an internal risk transfer12 and not capitalised under banking book rules must be capitalised under the market risk rules together with the trading book exposure. Internal risk transfer of general interest rate risk (GIRR) from banking book to trading book 3.8 When a bank hedges a banking book interest rate risk exposure using an internal risk transfer with its trading book, the trading book leg of the internal risk transfer shall be treated as a trading book instrument under the market risk framework if and only if:
3.9 Where the requirements in paragraph 3.8 are fulfilled, the banking book leg of the internal risk transfer shall be included in the banking book’s measure of interest rate risk exposures for regulatory capital purposes. 3.10 The internal risk transfer desk may include instruments purchased from the market (i.e. external parties to the bank). Such transactions may be executed directly between the internal risk transfer desk and the market. Alternatively, the internal risk transfer desk may obtain the external hedge from the market via trading book, if and only if the GIRR internal risk transfer entered into with the trading book exactly matches the external hedge from the market. In this latter case the respective legs of the GIRR internal risk transfer are included in the internal risk transfer desk and trading book. 3.11 The trading book leg of internal risk transfers must fulfil the same requirements under paragraph 1 as instruments in the trading book transacted with external counterparties. Eligible hedges for the CVA capital requirement 3.12 Eligible external hedges that are included in the credit valuation adjustment (CVA) capital requirement, as provided in paragraph 5.15.3.6 of Master Circular on Basel III Capital Regulations dated April 1, 2022, shall not attract market risk capital requirement calculation. 3.13 Banks may enter into internal risk transfers between the CVA portfolio and the trading book. Such an internal risk transfer consists of a CVA portfolio side and a non-CVA portfolio side. Where the CVA portfolio side of an internal risk transfer is recognised in the CVA risk capital requirement, the CVA portfolio side should be excluded from the market risk capital requirement, while the non-CVA portfolio side should be included in the market risk capital requirement. 3.14 In any case, such internal CVA risk transfers shall only receive regulatory capital recognition if the internal risk transfer is documented with respect to the CVA risk being hedged and the sources of such risk. 3.15 Independent from the treatment in the CVA risk capital requirement and the market risk capital requirement, internal risk transfers between the CVA portfolio and the trading book may be used to hedge the counterparty credit risk exposure of a derivative instrument in the trading or banking book as long as the requirements of paragraph 3.4 are met. Chapter 2: Definitions and application of market risk 4.1 Market risk is defined as the risk of losses in on and off-balance-sheet positions arising from movements in market prices. The risks subject to market risk capital requirements include:
4.2 Irrespective of the reporting frequency, banks shall meet the capital requirements for market risk on a continuous basis, i.e. at the close of each business day. Banks shall maintain strict risk management systems to monitor and control intraday exposures to market risk. 4.3 Banks shall have the option to exclude structural foreign currency investments (i.e., investments in unconsolidated group entities and consolidated subsidiaries or branches) from the calculation of net open currency risk positions13, subject to meeting each of the following conditions:
4.4 Foreign exchange risk capital requirement shall not apply to positions related to items that are deducted from a bank’s capital when calculating its capital base. 4.5 Holdings of capital instruments that are deducted from a bank’s capital or risk weighted at 1250% are not allowed to be included in the market risk framework. This includes:
4.6 Capital for market risk would not be relevant for securities, which have already matured and remain unpaid. These securities will attract capital only for credit risk. On completion of 90 days delinquency, these will be treated on par with NPAs for deciding the appropriate risk weights for credit risk. 4.7 For the purposes of this framework, the correlation trading portfolio incorporates securitisation exposures and n-th-to-default credit derivatives that meet the following criteria:
Banks following the simplified standardised approach for computing capital requirement for market risk are not expected to hold correlation trading portfolios. Chapter 3: Calculating risk-weighted assets for market risk 5. Risk-weighted assets and capital requirements 5.1 Banks shall use the simplified standardised approach for computing risk-weight assets for market risk. The risk-weighted assets for market risk shall be determined by multiplying the capital requirements calculated as set out in paragraph 5.2 by a factor of 12.5. 5.2 The capital requirement arising from the simplified standardised approach is the simple sum of the capital requirements arising from each of the three risk classes – namely interest rate risk, equity risk and FX risk as detailed in the formula below, where:
Capital Requirement= CRIRR * SFIRR + CREQ * SFEQ + CRFX * SFFX 6. Interest rate risk 6.1 This section sets out the simplified standard approach for measuring the risk of holding or taking positions in debt securities and other interest rate related instruments in the trading book. The instruments covered include all fixed-rate and floating-rate debt securities and instruments that behave like them, including non-convertible preference shares. The basis for dealing with derivative products is considered in paragraph 6.17 to 6.26. 6.2 Banks shall maintain the minimum capital requirement in terms of two separately calculated amounts: (i) “specific risk” of each security, both for short and long positions; and (ii) “general market risk” towards interest rate risk in the portfolio, where long and short positions in different securities or instruments can be offset. Specific risk 6.3 The capital requirement for specific risk is designed to protect against an adverse movement in the price of an individual security owing to factors related to the individual issuer. In measuring the risk, offsetting will be restricted to matched positions in the identical issue (including positions in derivatives). Even if the issuer is the same, no offsetting will be permitted between different issues since differences in coupon rates, liquidity, call features, etc. mean that prices may diverge in the short run. 6.4 The specific risk capital requirements for various kind of exposures shall be applied as detailed below:
6.5 The specific risk capital requirement of securitisation positions that are held in the trading book is to be calculated according to the revised method for such positions in the banking book as set out in Master Direction – Reserve Bank of India (Securitisation of Standard Assets) Directions, 2021 dated September 24, 2021. A bank shall calculate the specific risk capital requirement applicable to each securitisation position by dividing the risk weight calculated as if it were held in the banking book by 12.5. 6.6 Banks may limit the capital requirement for an individual position in a credit derivative or securitisation instrument to the maximum possible loss. For a short risk position this limit could be calculated as a change in value due to the underlying names immediately becoming default risk-free. For a long risk position, the maximum possible loss could be calculated as the change in value in the event that all the underlying names were to default with zero recoveries. The maximum possible loss must be calculated for each individual position. 6.7 The specific risk capital requirement for CDS positions in trading book will be based on the notional amount of CDS and shall be the same as applicable to the reference asset / obligation15. Specific risk capital charges for positions hedged by credit derivatives 6.8 Full allowance will be recognised for positions hedged by credit derivatives (or vice versa) when the values of two legs (i.e. long and short) always move in the opposite direction and broadly to the same extent. This would be the case when the two legs consist of completely identical instruments. In such cases no specific risk capital requirement applies to both sides of the position. 6.9 An 80% offset will be recognised when the value of two legs (i.e. long and short) always moves in the opposite direction but not broadly to the same extent. This would be the case when a long cash position (or credit derivative) is hedged by a credit default swap (CDS) (or vice versa) and there is an exact match in terms of the reference obligation, the maturity of both the reference obligation and the credit derivative, and the currency of the underlying exposure. In addition, key features of the credit derivative contract (e.g. credit event definitions, settlement mechanisms) should not cause the price movement of the credit derivative to materially deviate from the price movements of the cash position. To the extent that the transaction transfers risk (i.e. taking account of restrictive payout provisions such as fixed payouts and materiality thresholds), an 80% specific risk offset will be applied to the side of the transaction with the higher capital requirement, while the specific risk requirement on the other side will be zero. 6.10 Partial allowance will be recognised when the value of the two legs (i.e. long and short) usually moves in the opposite direction. This would be the case in the following situations:
6.11 In each of these cases in paragraph 6.8 to 6.10, the following rule applies. Rather than adding the specific risk capital requirements for each side of the transaction (i.e. the credit protection and the underlying asset) only the higher of the two capital requirements will apply. 6.12 In cases not captured in paragraph 6.8 to 6.10, a specific risk capital requirement will be assessed against both sides of the position (i.e. the credit protection and the underlying asset). General market risk 6.13 The capital requirements for general market risk are designed to capture the risk of loss arising from changes in market interest rates. The capital requirement is the sum of four components:
6.14 Separate maturity ladders shall be used for each currency and capital requirements shall be calculated for each currency separately and then summed with no offsetting between positions of the opposite sign. In the case of those currencies in which business is insignificant (where the turnover in the respective currency is less than 5 per cent of overall foreign exchange turnover), separate maturity ladders for each currency are not required. The bank may, instead, construct a single maturity ladder and slot, within each appropriate time band, the net long or short position for each currency. However, these individual net positions are to be summed within each time band, irrespective of whether they are long or short positions, to produce a gross position figure. The gross positions in each time-band will be subject to the assumed change in yield set out in Table 2 with no further offsets. 6.15 Banks shall measure the general market risk under standardised duration method by calculating the price sensitivity (modified duration) of each position separately. The mechanics are as follows:
6.16 To measure the interest rate risk in premium receivable / payable for a credit default swap, the present value of the premium can be treated as a notional position in Government securities of relevant maturity. These positions will attract appropriate capital charge for general market risk. The protection buyer / seller will treat the present value of the premium payable / receivable equivalent to a short / long notional position in Government securities of relevant maturity. Interest rate derivatives 6.17 The measurement system should include all interest-rate derivatives and off-balance sheet instruments in the trading book which react to changes in interest rates (e.g. FRAs, other forward contracts, bond futures, interest rate and cross-currency swaps and forward foreign exchange positions). Options can be treated in a variety of ways as described in paragraph 9. A summary of the rules for dealing with interest rate derivatives is set out in paragraph 6.26. 6.18 The derivatives should be converted into positions in the relevant underlying and become subject to specific and general market risk charges as described above. In order to calculate the capital requirement, the amounts reported should be the market value of the principal amount of the underlying or of the notional underlying resulting from the prudent valuation guidance set out in paragraph 8.8 of Master Circular on Basel III Capital Regulations dated April 1, 2022. For instruments where the apparent notional amount differs from the effective notional amount, banks must use the effective notional amount. 6.19 Futures and forward contracts (including FRAs) are treated as a combination of a long and a short position in a notional government security. The maturity of a future or an FRA will be the period until delivery or exercise of the contract, plus – where applicable – the life of the underlying instrument. For example, a long position in a June three-month interest rate future (taken in April) is to be reported as a long position in a government security with a maturity of five months and a short position in a government security with a maturity of two months. Where a range of deliverable instruments may be delivered to fulfil the contract, the bank has flexibility to elect which deliverable security goes into the duration ladder but should take account of any conversion factor defined by the exchange. 6.20 Swaps will be treated as two notional positions in government securities with relevant maturities. For example, an interest rate swap under which a bank is receiving floating rate interest and paying fixed will be treated as a long position in a floating rate instrument of maturity equivalent to the period until the next interest fixing and a short position in a fixed-rate instrument of maturity equivalent to the residual life of the swap. For swaps that pay or receive a fixed or floating interest rate against some other reference price, e.g. a stock index, the interest rate component should be slotted into the appropriate repricing maturity category, with the equity component being included in the equity framework. The separate legs of cross-currency swaps are to be reported in the relevant maturity ladders for the currencies concerned. 6.21 Banks may exclude the following from the interest rate framework altogether (for both specific and general market risk)
When the future or the forward comprises a range of deliverable instruments, offsetting of positions in the future or forward contract and its underlying is only permissible in cases where there is a readily identifiable underlying security that is most profitable for the trader with a short position to deliver. The price of this security, sometimes called the “cheapest-to-deliver”, and the price of the future or forward contract should, in such cases, move in close alignment. No offsetting will be allowed between positions in different currencies; the separate legs of cross-currency swaps or forward foreign exchange deals are to be treated as notional positions in the relevant instruments and included in the appropriate calculation for each currency. 6.22 In addition, opposite positions in the same category of instruments16 can in certain circumstances be regarded as matched and allowed to offset fully. To qualify for this treatment, the positions must relate to the same underlying instruments, be of the same nominal value and be denominated in the same currency17. In addition: a) for futures: offsetting positions in the notional or underlying instruments to which the futures contract relates must be for identical products and mature within seven days of each other; b) for swaps and FRAs: the reference rate (for floating rate positions) must be identical, and the coupon closely matched (i.e. within 15 basis points); and c) for swaps, FRAs and forwards: the next interest fixing date or, for fixed coupon positions or forwards, the residual maturity must correspond within the following limits:
6.23 Banks with large swap books may use the alternative formula for these swaps to calculate the positions to be included in the duration ladder. The alternative method would be to calculate the sensitivity of the net present value implied by the change in yield used in the duration method and allocate these sensitivities into the time bands set out in paragraph 6.15. 6.24 Interest rate and currency swaps, FRAs, forward FX contracts and interest rate futures will not be subject to a specific risk charge. This exemption also applies to futures on an interest rate index. However, in the case of futures contracts where the underlying is a debt security, or an index representing a basket of debt securities, a specific risk charge will apply according to the credit risk of the issuer as set out in paragraph 6.3 to 6.12. 6.25 General market risk applies to positions in all derivative products in the same manner as for cash positions, subject only to an exemption for fully or very closely matched positions in identical instruments as defined in paragraphs 6.21 and 6.22. The various categories of instruments should be slotted into the duration ladder and treated according to the rules identified earlier. 6.26 Table 4 presents a summary of the regulatory treatment for interest rate derivatives, for market risk purposes.
7. Equity risk 7.1 This section sets out a minimum capital standard to cover the risk of holding or taking positions in equities in the trading book. It applies to all instruments that exhibit market behaviour similar to equities, but not to non-convertible preference shares (which are covered by the interest rate risk requirements described in paragraph 6). The instruments covered include equity shares, whether voting or non-voting, convertible securities that behave like equities, equity investments (or units) in funds19 and commitments to buy or sell equity securities. Specific and general market risks 7.2 The capital requirement for specific risk will be 9 per cent and for general market risk, it will be 9 per cent20. These capital charges will also be applicable to all trading book exposures, which are exempted from capital market exposure ceilings for direct investments. 8. Foreign exchange risk 8.1 This section sets out the simplified standardised approach for measuring the risk of holding or taking positions in foreign currencies, including gold. 8.2 Two processes are needed to calculate the capital requirement for FX risk.
Measuring the exposure in a single currency 8.3 The bank’s net open position in each currency should be calculated by summing:
8.4 Positions in composite currencies need to be separately reported but, for measuring banks’ open positions, may be either treated as a currency in their own right or split into their component parts on a consistent basis. Positions in gold (spot plus forward) should be first expressed in terms of the standard unit of measurement (barrels, kilos, grams etc.), then the net position should be valued at current spot rates.22. 8.5 Interest, other income and expenses should be treated as follows. Interest accrued (i.e. earned but not yet received) should be included as a position. Accrued expenses should also be included. Unearned but expected future interest and anticipated expenses may be excluded unless the amounts are certain and banks have taken the opportunity to hedge them. If banks include future income/expenses they should do so on a consistent basis, and not be permitted to select only those expected future flows which reduce their position. 8.6 Forward currency and gold positions should be measured as follows: Forward currency and gold positions will normally be valued at current spot market exchange rates. Using forward exchange rates would be inappropriate since it would result in the measured positions reflecting current interest rate differentials to some extent. However, banks that base their normal management accounting on net present values are expected to use the net present values of each position, discounted using current interest rates and valued at current spot rates, for measuring their forward currency and gold positions. Measuring the foreign exchange risk in a portfolio of foreign currency positions and gold 8.7 For measuring the FX risk in a portfolio of foreign currency positions and gold as set out in paragraph 8.2(b), banks must use a shorthand method which treats all currencies equally. 8.8 Under the shorthand method, the nominal amount (or net present value) of the net position in each foreign currency and in gold is converted at spot rates into the reporting currency23. The overall net open position is measured by aggregating: (1) the sum of the net short positions or the sum of the net long positions, whichever is the greater24; plus (2) the net position (short or long) in gold, regardless of sign. 8.9 The capital requirement will be 9% of the overall net open position (see example in Table 5). In particular, the capital requirement would be 9% of the higher of either the net long currency positions or the net short currency positions (i.e. 300) and of the net position in gold (35) = 335 x 9% = 30.15.
9. Treatment of options 9.1 In recognition of the wide diversity of banks’ activities in options and the difficulties of measuring price risk for options, two alternative approaches are permissible as under:
9.2 In the simplified approach for options, the positions for the options and the associated underlying, cash or forward, are not subject to the standardised methodology but rather are carved-out and subject to separately calculated capital requirements that incorporate both general market risk and specific risk. The risk numbers thus generated are then added to the capital requirements for the relevant category, i.e. interest rate related instruments and foreign exchange as described in paragraphs 6 and 8. The delta-plus method uses the sensitivity parameters or Greek letters associated with options to measure their market risk and capital requirements. Under this method, the delta-equivalent position of each option becomes part of the simplified standardised approach set out in paragraphs 6 to 8 with the delta-equivalent amount subject to the applicable general market risk charges. Separate capital requirements are then applied to the gamma and vega risks of the option positions. The scenario approach uses simulation techniques to calculate changes in the value of an options portfolio for changes in the level and volatility of its associated underlyings. Under this approach, the general market risk charge is determined by the scenario grid (i.e. the specified combination of underlying and volatility changes) that produces the largest loss. For the delta-plus method and the scenario approach, the specific risk capital requirements are determined separately by multiplying the delta-equivalent of each option by the specific risk weights set out in paragraph 6. Simplified approach 9.3 Banks which handle a limited range of purchased options only will be free to use the simplified approach set out in Table 6 for particular trades. As an example of how the calculation would work, if a holder of 100 shares currently valued at Rs.10 each holds an equivalent put option with a strike price of Rs.11, the capital requirement would be: Rs.1,000 x 18% (i.e. 9% specific plus 9% general market risk) = Rs.180, less the amount the option is in the money (Rs.11 - Rs.10) x 100 = Rs.100, i.e. the capital requirement would be Rs.80. A similar methodology applies for options whose underlying is a foreign currency, an interest rate related instrument.
Delta-plus method 9.4 Banks which write options will be allowed to include delta-weighted options positions within the simplified standardised approach set out in paragraphs 6 to 8. Such options should be reported as a position equal to the market value of the underlying multiplied by the delta. However, since delta does not sufficiently cover the risks associated with options positions, banks will also be required to measure gamma (which measures the rate of change in delta) and vega (which measures the sensitivity of the value of an option with respect to a change in volatility) sensitivities in order to calculate the total capital requirement. These sensitivities will be calculated according to an approved exchange model or to the bank’s proprietary options pricing model subject to oversight by the Reserve Bank30. 9.5 Delta-weighted positions with debt securities or interest rates as the underlying will be slotted into the interest rate time bands, as set out in paragraph 6, under the following procedure. A two-legged approach should be used as for other derivatives, requiring one entry at the time the underlying contract takes effect and a second at the time the underlying contract matures. For instance, a bought call option on a June three-month interest-rate future will in April be considered, on the basis of its delta-equivalent value, to be a long position with a maturity of five months and a short position with a maturity of two months31. The written option will be similarly slotted as a long position with a maturity of two months and a short position with a maturity of five months. Floating rate instruments with caps or floors will be treated as a combination of floating rate securities and a series of European-style options. For example, the holder of a three-year floating rate bond indexed to six-month MIBOR with a cap of 15 per cent will treat it as:
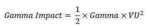
9.6 The capital requirement for options on FX and gold positions will be based on the method for FX rate risk as set out in paragraph 8. For delta risk, the net delta-based equivalent of the foreign currency and gold options will be incorporated into the measurement of the exposure for the respective currency (or gold) position. 9.7 In addition to the above capital requirements arising from delta risk, there will be further capital requirements for gamma and vega risk. Banks using the delta-plus method will be required to calculate the gamma and vega for each option position (including hedge positions) separately. The capital requirements should be calculated in the following way: a) For each individual option a gamma impact should be calculated according to a Taylor series expansion as follows, where VU is the variation of the underlying of the option. ![]() b) VU is calculated as follows: i. For interest rate options if the underlying is a bond, the price sensitivity should be worked out using the duration method set out in paragraph 6.15. An equivalent calculation should be carried out where the underlying is an interest rate.33 ii. For foreign exchange and gold options: the market value of the underlying should be multiplied by 9 per cent. c) For the purpose of this calculation the following positions should be treated as the same underlying: i. for interest rates34, each time band as set out in paragraph 6.15; ii. for foreign currencies and gold, each currency pair and gold; and d) Each option on the same underlying will have a gamma impact that is either positive or negative. These individual gamma impacts will be summed, resulting in a net gamma impact for each underlying that is either positive or negative. Only those net gamma impacts that are negative will be included in the capital requirement calculation. e) The total gamma risk capital requirement will be the sum of the absolute value of the net negative gamma impacts as calculated above. f) For volatility risk, banks will be required to calculate the capital requirements by multiplying the sum of the vega risks for all options on the same underlying, as defined above, by a proportional shift in volatility of ± 25%. g) The total capital requirement for vega risk will be the sum of the absolute value of the individual capital requirements that have been calculated for vega risk. Scenario approach 9.8 More sophisticated banks may opt to base the market risk capital requirement for options portfolios and associated hedging positions on scenario matrix analysis. This will be accomplished by specifying a fixed range of changes in the option portfolio’s risk factors and calculating changes in the value of the option portfolio at various points along this grid. For the purpose of calculating the capital requirement, the bank will revalue the option portfolio using matrices for simultaneous changes in the option’s underlying rate or price and in the volatility of that rate or price. A different matrix will be set up for each individual underlying as defined in paragraph 9.7 above. As an alternative, at the discretion of each national authority, banks that are significant traders in options, for interest rate options will be permitted to base the calculation on a minimum of six sets of time bands. When using this method, not more than three of the time bands as defined in paragraph 6.15 should be combined into any one set. 9.9 The options and related hedging positions will be evaluated over a specified range above and below the current value of the underlying. The range for interest rates is consistent with the assumed changes in yield in paragraph 6.15. Those banks using the alternative method for interest rate options set out in paragraph 9.8 above should use, for each set of time bands, the highest of the assumed changes in yield applicable to the group to which the time bands belong35. For foreign exchange and gold, the range is ± 8 per cent. For all risk categories, at least seven observations (including the current observation) should be used to divide the range into equally spaced intervals. 9.10 The second dimension of the matrix entails a change in the volatility of the underlying rate or price. A single change in the volatility of the underlying rate or price equal to a shift in volatility of + 25% and - 25% is expected to be sufficient in most cases. As circumstances warrant, however, the Reserve Bank may choose to require that a different change in volatility be used and/or that intermediate points on the grid be calculated. 9.11 After calculating the matrix, each cell contains the net profit or loss of the option and the underlying hedge instrument. The capital requirement for each underlying will then be calculated as the largest loss contained in the matrix. 9.12 The application of the scenario analysis by any specific bank will be subject to supervisory consent, particularly as regards the precise way that the analysis is constructed. 9.13 Besides the options risks mentioned above, the Committee is conscious of the other risks also associated with options, e.g. rho (rate of change of the value of the option with respect to the interest rate) and theta (rate of change of the value of the option with respect to time). While not proposing a measurement system for those risks at present, it expects banks undertaking significant options business at the very least to monitor such risks closely. Additionally, banks will be permitted to incorporate rho into their capital calculations for interest rate risk, if they wish to do so. 1 Corelation trading portfolio is defined in paragraph 4.7. Banks following simplified standardised approach are not expected to hold correlation trading portfolios. 2 A bank will have a net short risk position for equity risk or credit risk in the banking book if the present value of the banking book increases when an equity price decreases or when a credit spread on an issuer or group of issuers of debt increases. 3 Short position is not allowed except in derivatives and Central Government Securities. 4 Banks are allowed to engage in underwriting of issues of shares, debentures and bonds. 5 The definition of retail portfolio would be as provided in paragraph 5.9 of Master Circular on Basel III Capital Regulations. The definition of MSME is provided in circular FIDD.MSME & NFS.BC.No.3/06.02.31/2020-21 dated July 2, 2020, as amended from time to time. 6 Subject to supervisory review, banks shall have the option to exclude certain listed equities from the market risk framework, for example equity positions arising from deferred compensation plans, convertible debt securities, bank-owned life insurance products and legislated programmes. 7 Repo-style transactions that are (i) entered for liquidity management and (ii) valued at accrual for accounting purposes are not part of the presumptive list of paragraph 1.9. 8 An embedded derivative is a component of a hybrid contract that includes a non-derivative host such as liabilities issued out of the bank’s own banking book that contain embedded derivatives. The embedded derivative associated with the issued instrument (i.e., host) should be bifurcated and separately recognised on the bank’s balance sheet for accounting purposes. 9 The presumptions for the designation of an instrument to the trading book or banking book set out in this text will be used where a designation of an instrument to the trading book or banking book is not otherwise specified in this text. 10 For example, an investment in listed security assigned to trading book may subsequently get delisted, thus would be eligible for classification under banking book. 11 With respect to paragraph 4(e)(iv) of Annex 7 of Master Circular on Basel III Capital Regulations dated April 1, 2022, the cap of 60% on a credit derivative without a restructuring obligation only applies with regard to recognition of credit risk mitigation of the banking book instrument for regulatory capital purposes and not with regard to the amount of the internal risk transfer. 12 Banking book instruments that are over-hedged by their respective documented internal risk transfer create a short (risk) position in the banking book. 13 A matched currency risk position will protect a bank against loss from movements in exchange rates, but will not necessarily protect its capital adequacy ratio. If a bank has its capital denominated in its domestic currency and has a portfolio of foreign currency assets and liabilities that is completely matched, its capital/asset ratio will fall if the domestic currency depreciates. By running a short risk position in the domestic currency, the bank can protect its capital adequacy ratio, although it would result in a loss in the event of appreciation of the domestic currency. 14 In case of debt mutual fund / ETF which contains a mix of the above debt instruments, the specific risk capital charge shall be computed based on the lowest rated debt instrument/ instrument attracting the highest specific risk capital charge in the fund. Debt mutual fund / ETF for which constituent debt details are not available, at least as of each month-end, shall continue to be treated on par with equity for computation of capital charge for market risk as prescribed in paragraph 7. 15 For CDS positions in trading book, where the reference asset/ obligation is in banking book, specific risk capital requirement in trading book can be calculated by dividing the risk weight applicable to the reference asset/ obligation in the banking book by 12.5. 16 This includes the delta-equivalent value of options. The delta equivalent of the legs arising out of the treatment of caps and floors as set out in paragraph 9.5 can also be offset against each other under the rules laid down in this paragraph. 17 The separate legs of different swaps may also be matched subject to the same conditions. 18 This is the specific risk charge relating to the issuer of the instrument. Under the credit risk rules, a separate capital requirement for the counterparty credit risk applies. 19 excluding those assigned to the banking book in accordance with paragraph 1.8(e). 20 Market risk capital requirements would not apply to the investments which are deducted from capital base as per paragraph 4.4.9.2 of Master Circular on Basel III Capital Regulations dated April 1, 2022. 21 Subject to a separately calculated capital requirement for gamma and vega as described in paragraph 9.4 to 9.7; alternatively, options and their associated underlyings are subject to one of the other methods described in paragraph 9.1 to 9.13. 22 Where gold is part of a forward contract (quantity of gold to be received or to be delivered), any interest rate or foreign currency exposure from the other leg of the contract should be reported as set out in paragraph 6 and 8.3 above. 23 Where the bank is assessing its FX risk on a consolidated basis, it may be technically impractical in the case of some marginal operations to include the currency positions of a foreign branch or subsidiary of the bank. In such cases, the internal limit in each currency may be used as a proxy for the positions. Provided there is adequate ex post monitoring of actual positions against such limits, the limits should be added, without regard to sign, to the net open position in each currency. 24 An alternative calculation, which produces an identical result, is to include the reporting currency as a residual and to take the sum of all the short (or long) positions. 25 Unless all their written option positions are hedged by perfectly matched long positions in exactly the same options, in which case no capital requirement for market risk is required. 26 In some cases such as foreign exchange, it may be unclear which side is the underlying security; this should be taken to be the asset that would be received if the option were exercised. In addition, the nominal value should be used for items where the market value of the underlying instrument could be zero, e.g. caps and floors, swaptions, etc. 27 Some options (e.g. where the underlying is an interest rate, a currency) bear no specific risk but specific risk will be present in the case of options on certain interest rate related instruments (e.g. options on a corporate debt security or corporate bond index; see paragraph 6 for the relevant capital requirements). The charge under this measure for currency options will be 8 per cent. 28 For options with a residual maturity of more than six months, the strike price should be compared with the forward, not current price. A bank unable to do this must take the ‘in the money’ amount to be zero. 29 Where the position does not fall within the trading book (i.e. options on certain foreign exchange positions not belonging to the trading book), it may be acceptable to use the book value instead. 30 Reserve Bank may require banks doing business in certain classes of exotic options (e.g. barriers, digitals) or in options “at the money” that are close to expiry to use the scenario approach which can accommodate more detailed revaluation approaches. 31 A two-month call option on a bond future, where delivery of the bond takes place in September, would be considered in April as being long the bond and short a five-month deposit, both positions being delta-weighted. 32 The rules applying to closely matched positions set out in paragraph 6.22 will also apply in this respect. 33 The basic rules set out here for interest rate options do not attempt to capture specific risk when calculating gamma capital requirements. However, national authorities may wish to require specific banks to do so. 34 Positions have to be slotted into separate maturity ladders by currency. 35 If, for example, the time bands 3 to 4 years, 4 to 5 years and 5 to 7 years are combined the highest assumed change in yield of these three bands would be 0.75. | ||||||||||||||||||||||||||||||||||||||||||||||||||||||||||||||||||||||||||||||||||||||||||||||||||||||||||||||||||||||||||||||
പേജ് അവസാനം അപ്ഡേറ്റ് ചെയ്തത്: null
