RBI WPS (DEPR): 05/2011: Fan Chart: Methodology and its Application to Inflation Forecasting in India - ఆర్బిఐ - Reserve Bank of India
RBI WPS (DEPR): 05/2011: Fan Chart: Methodology and its Application to Inflation Forecasting in India
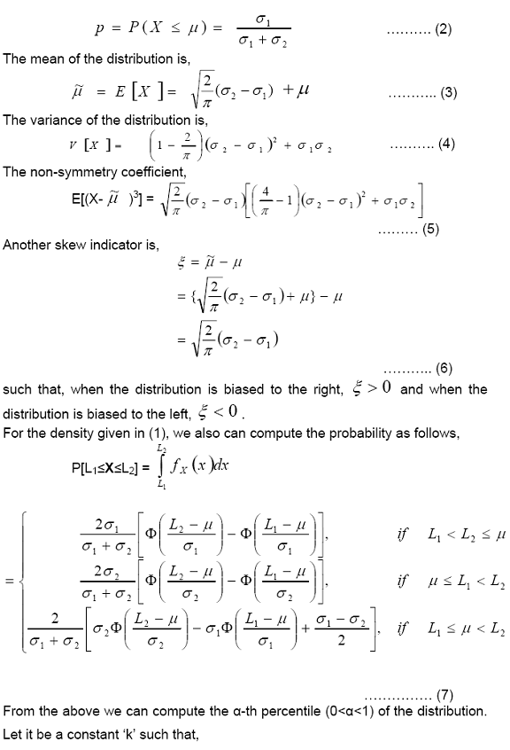
RBI Working Paper Series No. 05 Abstract 1Ever since Bank of England first published its inflation forecasts in February 1996, the Fan Chart has been an integral part of inflation reports of central banks around the world. The Fan Chart is basically used to improve presentation: to focus attention on the whole of the forecast distribution, rather than on small changes to the central projection. However, forecast distribution is a technical concept originated from the statistical sampling distribution. In this paper, we have presented the technical details underlying the derivation of Fan Chart used in representing the uncertainty in inflation forecasts. The uncertainty occurs because of the inter-play of the macro-economic variables affecting inflation. The uncertainty in the macro-economic variables is based on their historical standard deviation of the forecast errors, but we also allow these to be subjectively adjusted. Also we allow a subjective assessment of balance of risk. Thus, the methodology presented here shows how the balance of risk for various macro-economic variables can be linked with inflation uncertainty. JEL Classification: E31, E37, E59 Keywords: Forecasting Distribution, Uncertainty, Balance of Risks, Fan Chart 1. Introduction In 1992, the inflation-targeting UK monetary policy gave more emphasis on a forward looking view of inflation, which was expressed explicitly by an inflation forecast. Accordingly, the Bank of England (BoE) published a two-year ahead inflation rate forecast in their Inflation Report between February 1993 and February 1996 in the form of a chart showing a central projection path of inflation. The chart also gave a measure of the range of uncertainty based on the forecast errors from the previous ten years. But the chart was not fully satisfactory as it gave no emphasis on the risk of the forecast and ignored a very wide degree of uncertainty surrounding the central projection. Since February 1996, the BoE is publishing the inflation forecast in an explicit form of a forecast probability distribution called ‘Fan Chart’. In majority of the applications, a fan chart illustrates the probability distributions for the forecast of inflation and output growth, based on the central projection, uncertainty and the risks surrounding them. In traditional view, one can assume that the possible outcomes for inflation will symmetrically disperse around a central value or most probable value, and the values will more likely be closer to the centre than those further away. This leads to the assumption of bell-shaped normal distribution for the forecast distribution as it is widely used in statistical analysis. But the assessment of likely alternative outcomes suggests that forecast error is more likely to be in one direction than the other. That is why it is necessary to explore for a particular form of statistical distribution which has a degree of asymmetry in the form of a variable skew. In this context, the concept of two-piece normal or split normal distribution becomes handy (Britton, et al., 1998; Blix and Sellin, 1998). In statistics terminology, the fan chart is nothing but plotting of the parametric values of this split normal density for every forecast horizon. It represents the forecasting distribution of the variable based on its available past information. In comparison to the traditional symmetric forecasting distribution, fan chart gives the marginal distribution which may be non-symmetric and it also depicts the whole marginal distribution at each period of time in the forecasting horizon. From a central bank’s point of view, presentation of inflation forecast with uncertainty around the forecast is useful for several reasons. First and foremost, it serves to illustrate that the inflation forecast is inherently uncertain. The uncertainty is both about the shocks that will affect the economy as well as uncertainty about qualitative and quantitative nature of the transmission mechanism. Second, the asymmetric structures of the bands serve to present the central bank’s view of the balance of risks to the public and to market participants. In particular, it allows the central bank to communicate with less ambiguity whether the risk is believed to be higher that inflation will be below the forecast than that it will be above. Finally, an explicit pictorial view of the inflation forecast uncertainty also helps to isolate and examine its sources, which supports macro policy making. Therefore, fan chart is a useful tool in the toolkit of macro policy makers. The rest of the paper is outlined as follows: various features of a forecasting distribution are discussed in Section 2. In Section 3, we described the methodology of the split-normal distribution. In Section 4, we discussed on how various countries are using fan chart. The application of fan chart methodology to Indian context is illustrated in Section 5; and finally Section 6 concludes with a few remarks. 2. Features of a Forecasting Distribution As discussed earlier, the fan chart represents a probability distribution that captures the subjective assessment of inflationary pressures evolving through time based on a central view and the risk surrounding it. Therefore, for such forecasting distributions, we need to know three parameters, viz.,
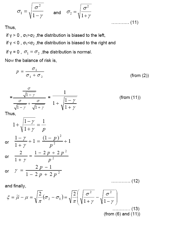
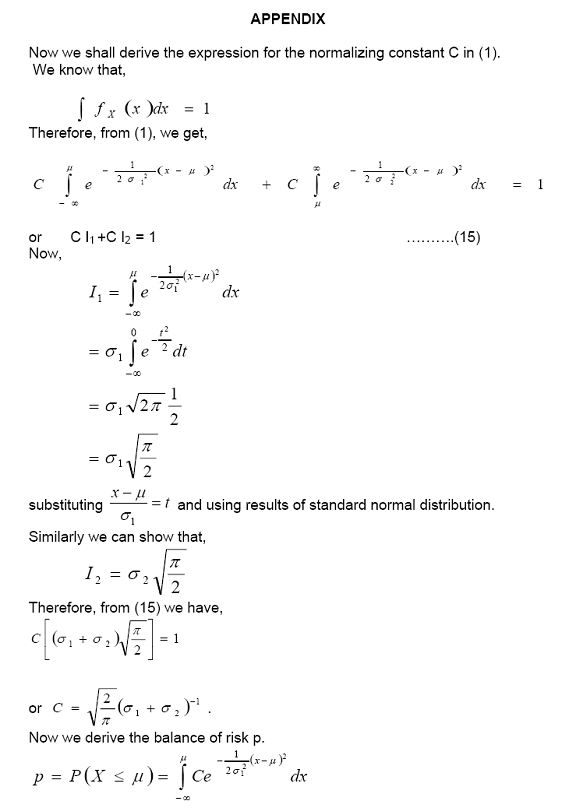
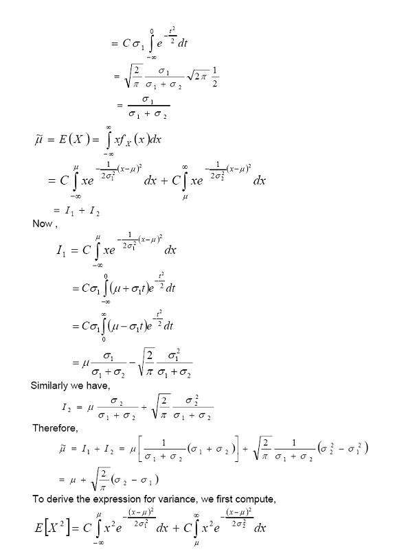
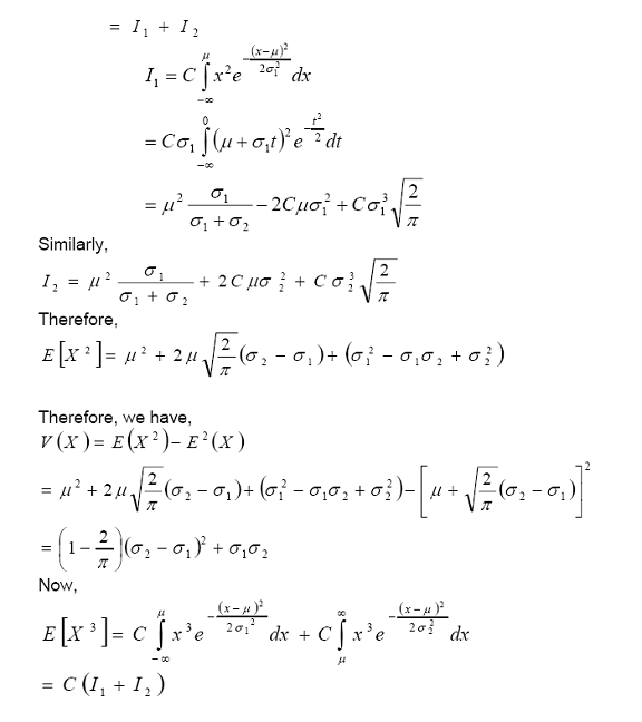
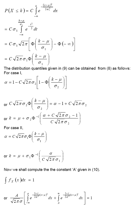
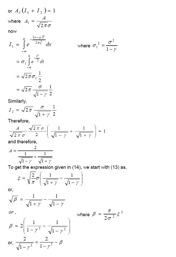
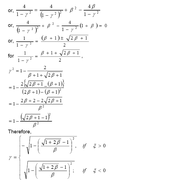
a) Central view This is usually expressed as a particular projected path based on a model that maps choices about economic assumptions onto an inflation forecast. Since no single projection at a future date has much chance to match with the subsequent outcome, one should take into account the full range of possibilities. Towards this, one uses the mode forecast instead of mean forecast, as mode is the more likely value in the sense that it maximizes the probability density function. This mode forecast has some drawbacks as it uses less information about the distribution and therefore is less sensitive to unlikely outcomes, e.g., if the distribution is multimodal, it would select only one peak and ignore the other peaks. Also mode does not have asymptotic justification like the mean as a measure of central tendency. However, the first drawback is not a serious concern as long as the distribution is unimodal and not too flat. Second, we can say that, the main use of asymptotic theory is in the inference problem when the finite-sample distribution is unknown. But it is not a problem when the distribution is known. Rather, our problem is on how best to estimate the parameters of the distribution. b) Degree of uncertainty This is the degree of dispersion in the distribution that can be measured by variance or mean absolute error or inter-quartile range of the historical data. Among these three, we prefer the variance. Uncertainty is a forward looking view of the risk as it tells how the future events will differ from the central view. The variance of the forecast distribution is determined from the standard deviation of the historical forecast errors and initially taken as fixed. c) Balance of risk In case of symmetric distribution, i.e., if the risk is symmetrically distributed around the central view, the more likely forecast will coincide with the mean forecast. But in case of asymmetric distribution, i.e., if risk is unbalanced, the more likely value differs from the average. If the balance of risk is on the upside, the mean forecast will be higher than the mode and the distribution will be positively skewed and if the balance of risk is on downside, the mean forecast will be lower than the mode and the distribution will be negatively skewed. In this section, we discussed about the underlying distribution of fan chart. Generally, split normal or two-piece normal distribution is used in this respect. There are several equivalent parameterizations for the split-normal distribution. Here we study only two of them in details and establish the parametric relationship between them. ![]() ![]() ![]() ![]() 4. Use of Fan Chart in Different Countries Fan chart is a very useful map for any inflation-targeting central bank. Bank of England uses Fan Chart in its Inflation Report since February 1996 to represent their inflation forecast. Indeed fan chart of Bank of England is considered as pioneering in the field of inflation analysis. Sveriges Riksbank (BoS) is also publishing similar density forecasts of inflation in its Inflation Report since December 1997. The cases of United Kingdom and Sweden are benchmarks for balance of risk analysis. Instead of taking symmetric forecasting distributions, they considered asymmetry and based on current developments and the future outlook, they made assumptions about the central value of the distribution, the variance and the degree of asymmetry. Since 2008, European Central Bank (ECB) bringing out inflation dynamics in the form of fan charts. Apart from the inflation forecast, fan chart is also used to illustrate the prospective density function of future male survival rates by Blake, Dowd and Cairns (2008) using mortality data for England and Wales. They found that, taking account of uncertainty in the parameters of the underlying mortality model leads to major increases in estimates of the widths of the Fan Chart. 5. Application of Fan Chart to Indian Context As an empirical illustration in Indian context, forecast distribution of WPI-based inflation forecasts is presented in the form of a fan chart. The baseline forecast is based on a vector auto-regression (VAR) model using monthly data on WPI, IIP, REER and M1. The program for computation and representation of fan chart is developed using MS Office Excel 2003 in Visual Basic. Based on the latest WPI data available till March 2011, fan chart is represented. The mode values or the more likely values were estimated from the VAR model as mentioned earlier. All other parameters of the forecast distribution are presented in Table 1 which form the inputs for fan chart representation.
From the above table, we observe that WPI-inflation, as per the baseline projection, is predicted to be around 7.20 per cent at the end of the current calendar year. As we move from current period to the future on monthly basis, we see that the standard error of forecast (i.e. the standard deviation) increases. Estimated Probability that WPI Inflation will fall into various ranges is presented in Table 2. In the coming months, uncertainty and upside risks of WPI inflation remained firm, particularly till June-July 2011. Finally, the forecast distribution in the form of a fan chart is presented in Chart 1. The chart shows the relative likelihood of possible outcomes. The central band which is coloured by deep red indicates the central or baseline projection. More the uncertainty, wider is the band. If the risks are more on one side than the other, then the bands will be wider on that side of the central band. In this paper, technical and computational details of drawing a fan chart are discussed. In this context, we have shown on how the balance of risk of any macro-economic indicator can be assessed by the skewness parameter of the distribution. It is also seen that the fan chart presentation is a combination of interaction of uncertainty and subjective judgment, intertwined with solid statistical foundations. The main objective of using fan chart is to improve presentation i.e. to focus on the whole forecasting distribution rather than on small changes to the central projection. Thus for the central banks, fan chart helps to communicate clearly that monetary policy is about making decisions in an uncertain world and, therefore, bias in any direction for the baseline projection of inflation is natural. @The authors are Research Officer and Director, respectively, in the Department of Statistics and Information Management, Reserve Bank of India, Mumbai. 1Views expressed in the paper are those of the authors and not of the Reserve Bank of India.References 1. Blix M. and P. Sellin (1998): “Uncertainty Bands for Inflation Forecasts”, mimeo Severiges Riksbank. 2. Britton E., P. Fisher and J. Whitley (1998): “The Inflation Report Projections: Understanding the Fan Chart”, Bank of England Quarterly Bulletin, February. 3. Julio, J. M. (2006): The Fan Chart: The Technical Details of the New Implementation, Banco de la Republica, December. 4. Johnson K. S. and N. Balakrishnan (1994): Continuous Univariate Distributions, John Wiley, New York. 5. John, S. (1982): “The Three Parameter Two-Piece Normal Family of Distributions”, Communication in Statistics - Theory and Methods, 11(8), pp.879-885. ![]() ![]() ![]() ![]() ![]() ![]() ![]() ![]() ![]() | ||||||||||||||||||||||||||||||||||||||||||||||||||||||||||||||||||||||||||||||||
పేజీ చివరిగా అప్డేట్ చేయబడిన తేదీ: null













